¶«Éý¹ú¼Ê:66856top

²úÆ·ÏÈÈÝ

Ê×Ò³ >  »ªÈó¸ß¿Æ >  ²úÆ·ÏÈÈÝ
<dt>Ò©Æ·Ãû³Æ</dt><dd>µØ¸ßÐÁ¿Ú·þÈÜÒº</dd>

µØ¸ßÐÁ¿Ú·þÈÜÒº

ÓÃÓÚÓ¤¶ù¼°¶ùͯµÄ³äѪÐÔÐÄÁ¦Ë¥½ß¼°Ä³Ð©ÊÒÉÏÐÔÐÄÂÉʧ³£¡£¡£¡£¡£¡£

µØ¸ßÐÁ¿Ú·þÈÜҺ˵Ã÷Êé

Çë×ÐϸÔĶÁ˵Ã÷Êé²¢ÔÚҽʦָµ¼ÏÂʹÓÃ

¡¾Ò©Æ·Ãû³Æ¡¿

ͨÓÃÃû³Æ£ºµØ¸ßÐÁ¿Ú·þÈÜÒº

Ó¢ÎÄÃû³Æ£ºDigoxin Oral Solution

ººÓïÆ´Òô£ºDigaoxin Koufurongye

¡¾³É·Ý¡¿

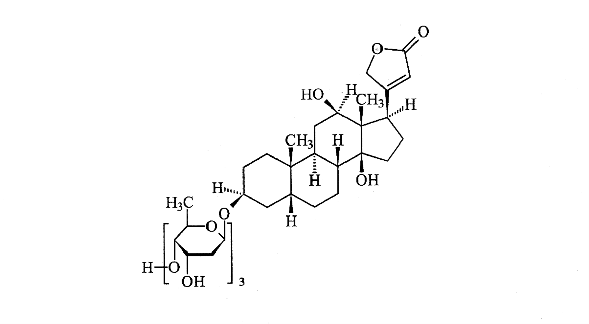
»¯Ñ§Ãû³Æ£º±¾Æ·Ö÷Òª³É·ÝΪµØ¸ßÐÁ£¬£¬£¬£¬ £¬3¦Â-£Û£ÛO-2£¬£¬£¬£¬ £¬6-¶þÍÑÑõ-¦Â-D-ºË-¼ºßÁà«ÌÇ»ù-(1¡ú4)-O-2£¬£¬£¬£¬ £¬6-¶þÍÑÑõ-¦Â-D-ºË-¼ºßÁà«ÌÇ»ù-(1¡ú4)-2£¬£¬£¬£¬ £¬6-¶þÍÑÑõ-¦Â-D-ºË-¼ºßÁà«ÌÇ»ù£ÝÑõ´ú£Ý-12¦Â£¬£¬£¬£¬ £¬14¦Â-¶þôÇ»ù-5¦Â-ÐÄçÞ-20(22)Ï©ÄÚõ¥¡£¡£¡£¡£¡£

 

 

»¯Ñ§½á¹¹Ê½£º

 

 

jiedoutu.png

·Ö×Óʽ£ºC41H64O14

·Ö×ÓÁ¿£º780.95

¡¾ÐÔ×´¡¿

±¾Æ·ÎªÎ¢»ÆÉ«µÄ³ÎÇåÒºÌ壬£¬£¬£¬ £¬ÂÔÓд¼Î¶¡£¡£¡£¡£¡£

¡¾Ë³Ó¦Ö¢¡¿

ÓÃÓÚÓ¤¶ù¼°¶ùͯµÄ³äѪÐÔÐÄÁ¦Ë¥½ß¼°Ä³Ð©ÊÒÉÏÐÔÐÄÂÉʧ³£¡£¡£¡£¡£¡£

¡¾¹æ¸ñ¡¿

30ml£º1.5mg£»£» £»£»£»100ml£º5mg

¡¾Ó÷¨ÓÃÁ¿¡¿

¶ÔÉö¹¦Ð§Õý³£µÄ»¼¶ù°´ÌåÖØ¸ø·ÅÑóµØ»Æ»¯Á¿µÄµØ¸ßÐÁ¿Ú·þÈÜÒºµÄÓÃÁ¿£º¿Ú·þ¡£¡£¡£¡£¡£±¥ºÍÁ¿×ÜÁ¿£¬£¬£¬£¬ £¬£¼2Ë꣬£¬£¬£¬ £¬0.06¡«0.08mg/kg(Ï൱ÓÚ¿Ú·þÈÜÒº1.2¡«1.6ml/kg), £¾2Ë꣬£¬£¬£¬ £¬0.04¡«0.06mg/kg(Ï൱ÓÚ¿Ú·þÈÜÒº0.8¡«1.2ml/kg);·Ö3¡«6´ÎÍê³É±¥ºÍ¡£¡£¡£¡£¡£ÒÔºóÓÃÉÏÊöÁ¿µÄ1/4ΪÖðÈÕά³ÖÁ¿¡£¡£¡£¡£¡£

Ôç²ú¶ùºÍÐÂÉú¶ùÒËÓÃ1/3»ò1/2Á¿¡£¡£¡£¡£¡£Èç·ºÆðÐÄÂÉʧ³£µÈÖж¾Õ÷Ï󣬣¬£¬£¬ £¬Ó¦Í£Ò©»ò¼Ó·þÂÈ»¯¼Ø¡£¡£¡£¡£¡£

¡¾²»Á¼·´Ó¦¡¿

1.³£¼ûµÄ²»Á¼·´Ó¦°üÀ¨£ºÐ·ºÆðµÄÐÄÂÉʧ³£¡¢Î¸Äɲ»¼Ñ»ò¶ñÐÄ¡¢ÍÂÄæ¡¢Ï¸¹Í´¡¢ÎÞÁ¦¡¢ÈíÈõ¡£¡£¡£¡£¡£

2.ÉÙ¼ûµÄ·´Ó¦°üÀ¨£ºÊÓÁ¦Ä£ºý»ò¡°É«ÊÓ¡±£¨Öж¾Ö¢×´Èç»ÆÊӵȣ©¡¢¸¹Ðº¡¢¾«ÉñÒÖÓô»òÅÓÔÓ¡£¡£¡£¡£¡£

3.ÓÐÊýµÄ·´Ó¦°üÀ¨£ºÊÈ˯¡¢Í·Í´¼°Æ¤ÕݡÂéÕ¹ýÃô·´Ó¦£©¡£¡£¡£¡£¡£

4.ÔÚÑóµØ»ÆµÄÖж¾ÌåÏÖÖУ¬£¬£¬£¬ £¬ÐÄÂÉʧ³£×îÖ÷Òª£¬£¬£¬£¬ £¬×î³£¼ûÕßΪÊÒÐÔÔ粫£¬£¬£¬£¬ £¬Ô¼Õ¼ÐÄÔà·´Ó¦µÄ33%¡£¡£¡£¡£¡£Æä´ÎΪ·¿ÊÒ´«µ¼×èÖÍ£¬£¬£¬£¬ £¬Õó·¢ÐÔ»ò¼ÓËÙÐÔ½ÓÈÀÐÔÐ͝¹ýËÙ£¬£¬£¬£¬ £¬Õó·¢ÐÔ·¿ÐÔÐ͝¹ýËÙ°é·¿ÊÒ´«µ¼×èÖÍ£¬£¬£¬£¬ £¬ÊÒÐÔÐ͝¹ýËÙ¡¢ñ¼ÐÔÍ£²«¡¢ÐÄÊÒ²ü¶¶µÈ¡£¡£¡£¡£¡£¶ùͯÖÐÐÄÂÉʧ³£±ÈÆäËû·´Ó¦¶à¼û£¬£¬£¬£¬ £¬µ«ÊÒÐÔÐÄÂÉʧ³£±È³ÉÈËÉÙ¼û¡£¡£¡£¡£¡£ÐÂÉú¶ù¿ÉÓÐP£­R¼äÆÚÑÓÉì¡£¡£¡£¡£¡£

¡¾½û¼É¡¿

1.Óë¸Æ×¢Éä¼ÁÊÊÓ㻣» £»£»£»

2.ÈκÎÇ¿ÐÄÜÕÖÆ¼ÁÖж¾£»£» £»£»£»

3.ÊÒÐÔÐ͝¹ýËÙ¡¢ÐÄÊÒ²ü¶¶£»£» £»£»£»

4.¹£×èÐԷʺñÐÍÐ¡£¡£¡£¡£¡£¨Èô°éËõ¶Ì¹¦Ð§²»È«»òÐÄ·¿²ü¶¶ÈÔ¿ÉÓ¦Óã©£»£» £»£»£»

5.Ô¤¼¤×ÛºÏÕ÷°éÐÄ·¿²ü¶¶»òÆË¶¯¡£¡£¡£¡£¡£

É÷ÓÃÓÚ£º

1.µÍ¼ØÑªÖ¢£»£» £»£»£»

2.²»ÍêÈ«ÐÔ·¿ÊÒ´«µ¼×èÖÍ£»£» £»£»£»

3.¸ß¸ÆÑªÖ¢£»£» £»£»£»

4.¼××´ÏÙ¹¦Ð§µÍÏ£»£» £»£»£» 

5.ȱѪÐÔÐÄÔಡ£¡£¡£¡£¡£»£» £»£»£»

6.Ð£ËÀ£»£» £»£»£»

7.Ðļ¡Ñ×£»£» £»£»£»

8.Éö¹¦Ð§Ë𺦣»£» £»£»£»

9.¾Æ¾«¹ýÃô¡£¡£¡£¡£¡£

¡¾×¢ÖØÊÂÏî¡¿

¶Ôñ¼ÐÔÐÄÂɵÄÇá¡¢ÖжȳäѪÐÔÐÄÁ¦Ë¥½ßµÄ»¼Õߣ¬£¬£¬£¬ £¬µØ¸ßÐÁÄÜÔöÌíÉäѪ·ÖÊý£¬£¬£¬£¬ £¬¸ÄÉÆ×óÊÒ¹¦Ð§£¬£¬£¬£¬ £¬Ô¤·À²¡Çé¶ñ»¯£¬£¬£¬£¬ £¬µ«¼±ÐÔÐ£ËÀºóµÄ×óÐĹ¦Ð§²»È«£¨ÓÈÆäÊ×ÈÕ·¢²¡£¡£¡£¡£¡£©Ó¦É÷Óᣡ£¡£¡£¡£ÓÃҩʱ´úӦע֨¼à²â£º

¢Ù  Ѫѹ¡¢ÐÄÂɼ°ÐÄÂÊ£»£» £»£»£»

¢Ú  Ðĵçͼ£»£» £»£»£»

¢Û  ÐĹ¦Ð§¼à²â£»£» £»£»£»

¢Ü  µç½âÖÊÓÈÆä¼Ø¡¢¸Æ¡¢Ã¾£»£» £»£»£»

¢Ý  Éö¹¦Ð§£»£» £»£»£»

¢ÞÒÉÓÐÑ󵨻ÆÖж¾Ê±£¬£¬£¬£¬ £¬Ó¦×÷µØ¸ßÐÁѪҩŨ¶È²â¶¨¡£¡£¡£¡£¡£¹ýÁ¿Ê±£¬£¬£¬£¬ £¬ÓÉÓÚÐî»ýÐÔС£¬£¬£¬£¬ £¬£­°ãÓÚÍ£Ò©ºó1¡«2ÌìÖж¾ÌåÏÖ¿ÉÒÔÏûÍË¡£¡£¡£¡£¡£ÈçµØ¸ßÐÁѪҩŨ¶ÈÔÚ2.0¡«2.5ng/mlÒÔÉÏ£¬£¬£¬£¬ £¬Ó¦Ð¡ÐÄÑóµØ»Æ¹ýÁ¿¶¾ÐÔ·´Ó¦¡£¡£¡£¡£¡£»£» £»£»£»¼Õß2-3ÖÜǰδӦÓÃÑ󵨻ÆÀàÖÆ¼ÁÕߣ¬£¬£¬£¬ £¬ÐëҪʱ¿É˼Á¿¸øÓ踺ºÉÁ¿£»£» £»£»£»Éö¹¦Ð§²»È«Õߣ¬£¬£¬£¬ £¬²»ÒËÓ¦ÓõظßÐÁ£¬£¬£¬£¬ £¬Ó¦Ñ¡ÓÃÑóµØ»Æ¶¾ÜÕ£»£» £»£»£»Ó¦ÓÃÑóµØ»Æ»¼Õß³£¶Ôµç¸´Âɼ«ÎªÃô¸Ð£¬£¬£¬£¬ £¬Ó¦¸ß¶ÈСÐÄ£»£» £»£»£»Í¸Îö²»¿É´ÓÌåÄÚѸËÙÈ¥³ý±¾Æ·£»£» £»£»£»ÔÚ±¾Æ·ÒýÆðÑÏÖØ»òÍêÈ«ÐÔ·¿ÊÒ´«µ¼×èÖÍʱ£¬£¬£¬£¬ £¬²»Ò˲¹¼Ø£»£» £»£»£»ÍíÄê¼°ÐéÈõÕßÔÚ³£ÓüÁÁ¿¼°ÑªÒ©Å¨¶Èʱ¾Í¿ÉÓÐÖж¾·´Ó¦£»£» £»£»£»Ó¤Ó×¶ùÒªÔÚѪҩŨ¶È¼°Ðĵç¼à²âÏÂÔöÌí¼ÁÁ¿£»£» £»£»£»°ëË¥ÆÚ½Ï¶ÌµÄ±¾Æ·£¨°ëË¥ÆÚƽ¾ùΪ36Сʱ£©£¬£¬£¬£¬ £¬ÖðÈÕ¿Ú·þ0.25©J£¬£¬£¬£¬ £¬¾­5¸ö°ëË¥ÆÚ£¨Ô¼6¡«8ÈÕ£©¿ÉµÖ´ïÑóµØ»Æ»¯ÑªÒ©Å¨¶ÈµÄ96%¡£¡£¡£¡£¡£ÈçÈÔ²»¿ÉµÖ´ïÖÎÁÆÐ§¹û£¬£¬£¬£¬ £¬¿ÉÊʵ±ÔöÌí¼ÁÁ¿¡£¡£¡£¡£¡£È粡Çé½Ï¼±£¬£¬£¬£¬ £¬Îª½Ï¿ìµÖ´ïÓÐÓÃŨ¶È£¬£¬£¬£¬ £¬ÈÔÐèÏȸø¸ººÉÁ¿£¬£¬£¬£¬ £¬µ«¼ÁÁ¿Ðè¸öÌ廯£»£» £»£»£»µ±»¼ÕßÓÉÇ¿ÐÄÜÕ×¢ÉäÒº¸ÄΪ±¾Æ·Ê±£¬£¬£¬£¬ £¬ÎªÅâ³¥Ò©Îï¼äÒ©´ú¶¯Á¦Ñ§²î±ð£¬£¬£¬£¬ £¬ÐèÒªµ÷½â¼ÁÁ¿¡£¡£¡£¡£¡£

¡¾Ôи¾¼°²¸ÈéÆÚ¸¾Å®ÓÃÒ©¡¿Î´¾ÙÐиÃÏîʵÑéÇÒÎÞ¿É¿¿²Î¿¼ÎÄÏס£¡£¡£¡£¡£

¡¾¶ùͯÓÃÒ©¡¿Î´¾ÙÐиÃÏîʵÑéÇÒÎÞ¿É¿¿²Î¿¼ÎÄÏס£¡£¡£¡£¡£

¡¾ÍíÄêÓÃÒ©¡¿Î´¾ÙÐиÃÏîʵÑéÇÒÎÞ¿É¿¿²Î¿¼ÎÄÏס£¡£¡£¡£¡£

¡¾Ò©ÎïÏ໥×÷Óá¿

£¨1£©ÓëÁ½ÐÔÃ¹ËØB¡¢Æ¤Öʼ¤ËØ»òʧ¼ØÀûÄò¼ÁÈç²¼ÃÀËûÄᣨbumetanide£©¡¢ÒÀËûÄáËᣨethacrynic acid£©µÈÊÊÓÃʱ£¬£¬£¬£¬ £¬¿ÉÒòµÍѪ¼Ø¶øÖÂÑ󵨻ÆÖж¾¡£¡£¡£¡£¡£

£¨2£©ÓëÖÆËáÒ©£¨ÓÈÆäÈý¹èËáþ£©»òֹкÎü¸½Ò©Èç°×ÌÕÍÁ¡¢¹û½º¡¢¿¼À´Ï©°·£¨colestyramine£©ºÍÆäËûÒõÀë×Ó½»Á÷Ê÷Ö¬¡¢Áøµª»ÇßÁण¨sulfasalazine£©»òÐÂÃ¹ËØ¡¢¶Ô°±»ùË®ÑîËáÊÊÓÃʱ£¬£¬£¬£¬ £¬¿ÉÒÖÖÆÑ󵨻ÆÇ¿ÐÄÜÕÎüÊÕ¡£¡£¡£¡£¡£

£¨3£©Ó뿹ÐÄÂÉʧ³£Ò©¡¢¸ÆÑÎ×¢Éä¼Á¡¢¿É¿¨Òò»òÄâÉöÉÏÏÙËØÀàÒ©ÊÊÓÃʱ£¬£¬£¬£¬ £¬¿Éµ¼ÖÂÐÄÂÉʧ³£¡£¡£¡£¡£¡£

£¨4£©ÓÐÑÏÖØ»òÍêÈ«ÐÔ·¿ÊÒ´«µ¼×èÖͶøÑª¼ØÕý³£µÄÑóµØ»Æ»¯»¼Õß²»Ó¦Í¬Ê±Ó¦ÓüØÑΣ¬£¬£¬£¬ £¬µ«àçàºÀà

ÀûÄò¼ÁÓ뱾ƷÊÊÓÃʱ£¬£¬£¬£¬ £¬Ó¦±ÜÃâµÍ¼ØÑªÖ¢¡£¡£¡£¡£¡£

£¨5£©¦ÂÊÜÌå×èÖͼÁÓ뱾ƷÊÊÓ㬣¬£¬£¬ £¬Óе¼Ö·¿ÊÒ´«µ¼×èÖͱ¬·¢ÑÏÖØÐ͝¹ý»ºµÄ¿ÉÄÜ¡£¡£¡£¡£¡£µ«²¢²»É¨³ý¦Â×èÖͼÁÓÃÓÚÑóµØ»Æ²»¿É¿ØÖÆÐÄÊÒÂʵÄÊÒÉÏÐÔ¿ìËÙÐÄÂÉʧ³£¡£¡£¡£¡£¡£

£¨6£©Óë¿üÄᶡͬÓ㬣¬£¬£¬ £¬¿Éʹ±¾Æ·ÑªÒ©Å¨¶ÈÌá¸ßÔ¼Ò»±¶£¬£¬£¬£¬ £¬Á½Ò©ÊÊÓÃʱӦ×üõµØ¸ßÐÁÓÃÁ¿1/2¡«1/3¡£¡£¡£¡£¡£

£¨7£©ÓëάÀ­ÅÁÃס¢µØ¶ûÁò?¡¢°·µâͪÊÊÓ㬣¬£¬£¬ £¬¿ÉÒýÆðÑÏÖØÐ͝¹ý»º¡£¡£¡£¡£¡£

£¨8£©ÂÝÄÚõ¥¿ÉÑÓÉ챾Ʒ°ëË¥ÆÚ¡£¡£¡£¡£¡£

£¨9£©Ñª¹ÜÖ÷ÒªËØ×ª»»Ã¸ÒÖÖÆ¼Á¼°ÆäÊÜÌåÞ׿¹¼Á¿Éʹ±¾Æ·ÑªÒ©Å¨¶ÈÔö¸ß¡£¡£¡£¡£¡£

£¨10£©ßÅßáÃÀÐÁ£¨indomethacin£©¿Éʹ±¾Æ·°ëË¥ÆÚÑÓÉ죬£¬£¬£¬ £¬Ðè¼à²âѪҩŨ¶È¼°Ðĵçͼ¡£¡£¡£¡£¡£

£¨11£©Óë¸ÎËØÍ¬Ó㬣¬£¬£¬ £¬Äܲ¿·ÖµÖÏû¸ÎËØµÄ¿¹Äý×÷ÓÃ,Ӧע֨µ÷½â¸ÎËØÓÃÁ¿¡£¡£¡£¡£¡£

£¨12£©ÑóµØ»Æ»¯Ê±¾²ÂöÓÃÁòËáþӦ¼«ÆäÉóÉ÷£¬£¬£¬£¬ £¬¿É±¬·¢ÐÄÔà´«µ¼×èÖÍ¡£¡£¡£¡£¡£

£¨13£©ºìÃ¹ËØ¿ÉÔöÌí±¾Æ·ÔÚ賦µÀµÄÎüÊÕ¡£¡£¡£¡£¡£

¡¾Ò©Îï¹ýÁ¿¡¿

δ¾ÙÐиÃÏîʵÑéÇÒÎÞ¿É¿¿²Î¿¼ÎÄÏס£¡£¡£¡£¡£

¡¾Ò©Àí¶¾Àí¡¿

ÖÎÁƼÁÁ¿Ê±¾ßÓУº

1.ÕýÐÔ¼¡Á¦×÷Ó㺱¾Æ·Ñ¡ÔñÐÔµØÓëÐļ¡Ï¸°ûĤNa+-K+-ATPøÍÅ½á¶øÒÖÖÆ¸Ãø»îÐÔ£¬£¬£¬£¬ £¬Ê¹Ðļ¡Ï¸°ûĤÄÚÍâNa+-K+×Ô¶¯Å¼Áª×ªÔËÊÜË𣬣¬£¬£¬ £¬Ðļ¡Ï¸°ûÄÚNa+Ũ¶ÈÉý¸ß£¬£¬£¬£¬ £¬´Ó¶øÊ¹¼¡Ä¤ÉÏNa+-Ca2+½»Á÷Ç÷ÓÚ»îÔ¾£¬£¬£¬£¬ £¬Ê¹Ï¸°û½¬ÄÚCa2£«Ôö¶à£»£» £»£»£»¼¡½¬ÍøÄÚCa2+´¢Á¿ÒàÔö¶à£¬£¬£¬£¬ £¬Ðļ¡ÐË·Üʱ£¬£¬£¬£¬ £¬Óн϶àµÄCa2+ÊÍ·Å£»£» £»£»£»Ðļ¡Ï¸°ûÄÚCa2+Ũ¶ÈÔö¸ß£¬£¬£¬£¬ £¬Ðļ¡Ëõ¶ÌÂѰ׼¤¶¯ÔöÇ¿´Ó¶øÔöÌíÐļ¡Ëõ¶ÌÁ¦¡£¡£¡£¡£¡£

2.¸ºÐÔÆµÂÊ×÷ÓãºÓÉÓÚÆäÕýÐÔ¼¡Á¦×÷Ó㬣¬£¬£¬ £¬Ê¹Ë¥½ßÐÄÔàÐÄÊä³öÁ¿ÔöÌí£¬£¬£¬£¬ £¬ÑªÁ÷¶¯Á¦Ñ§¸ÄÉÆ£¬£¬£¬£¬ £¬Ïû³ý½»¸ÐÉñ¾­ÕÅÁ¦µÄ·´ÉäÐÔÔö¸ß£¬£¬£¬£¬ £¬²¢ÔöÇ¿ÃÔ×ßÉñ¾­ÕÅÁ¦£¬£¬£¬£¬ £¬Òò¶ø¼õÂýÐÄÂÊ¡¢ÑÓ»º·¿ÊÒ´«µ¼¡£¡£¡£¡£¡£±ðµÄ£¬£¬£¬£¬ £¬Ð¡¼ÁÁ¿Ê±Ìá¸ßñ¼·¿½á¶ÔÃÔ×ßÉñ¾­¼¤¶¯µÄÃô¸ÐÐÔ£¬£¬£¬£¬ £¬¿ÉÔöÇ¿Æä¼õÂýÐÄÂÊ×÷Óᣡ£¡£¡£¡£ÓÉÓÚÆä¸ºÐÔÆµÂÊ×÷Ó㬣¬£¬£¬ £¬Ê¹ÊæÕÅÆÚÏà¶ÔÑÓÉ죬£¬£¬£¬ £¬ÓÐÀûÓÚÔöÌíÐļ¡Ñª¹©£»£» £»£»£»´ó¼ÁÁ¿Ôò¿ÉÖ±½ÓÒÖÖÆñ¼·¿½á¡¢·¿ÊÒ½áºÍÏ£ÊÏÊø¶ø·ºÆðñ¼ÐÔÐ͝¹ý»ººÍ²î±ðˮƽµÄ·¿ÊÒ´«µ¼×èÖÍ¡£¡£¡£¡£¡£

3.ͨ¹ý¶ÔÐçÔ˶¯µÄÖ±½Ó×÷ÓúͶÔÃÔ×ßÉñ¾­µÄ¼ä½Ó×÷Ó㬣¬£¬£¬ £¬½µµÍñ¼·¿½á×ÔÂÉÐÔ£»£» £»£»£»Ìá¸ßÆÖ¿ÏÒ°ÏËά×ÔÂÉÐÔ£»£» £»£»£»¼õÂý·¿Êҽᴫµ¼ËÙÂÊ£¬£¬£¬£¬ £¬ÑÓÉìÆäÓÐÓò»Ó¦ÆÚ£¬£¬£¬£¬ £¬µ¼Ö·¿ÊÒ½áÒþÄäÐÔ´«µ¼ÔöÌí£¬£¬£¬£¬ £¬¿É¼õÂýÐÄ·¿Ï˲ü»òÐÄ·¿ÆË¶¯µÄÐÄÊÒÂÊ£»£» £»£»£»ÓÉÓÚ±¾Ò©Ëõ¶ÌÐÄ·¿ÓÐÓò»Ó¦ÆÚ£¬£¬£¬£¬ £¬µ±ÓÃÓÚ·¿ÐÔÐ͝¹ýËٺͷ¿ÆËʱ£¬£¬£¬£¬ £¬¿ÉÄܵ¼ÖÂÐÄ·¿ÂʵļÓËÙºÍÐÄ·¿ÆË¶¯×ªÎªÐÄ·¿Ï˲ü£»£» £»£»£»Ëõ¶ÌÆÖ¿ÏÒ°ÏËάÓÐÓò»Ó¦ÆÚ¡£¡£¡£¡£¡£

¡¾Ò©´ú¶¯Á¦Ñ§¡¿

µØ¸ßÐÁΪÓÉ뻨Ñ󵨻ÆÌá´¿ÖÆµÃµÄÖÐЧǿÐÄÜÕ£¬£¬£¬£¬ £¬ÆäÌØµãÊÇÉøÍ¸½Ï¿ì¶øÐî»ýÐÔ½ÏС£¬£¬£¬£¬ £¬ÁÙ´²Ê¹ÓñÈÑóµØ»ÆÆ¬ºÍÑóµØ»Æ¶¾ÜÕÇå¾²¡£¡£¡£¡£¡£¿£¿£¿£¿£¿Ú·þÖ÷Òª¾­Ð¡³¦Éϲ¿ÎüÊÕ£¬£¬£¬£¬ £¬ÎüÊÕ²»ÍêÈ«£¬£¬£¬£¬ £¬Ò²²»¹æÔò£¬£¬£¬£¬ £¬¿Ú·þÎüÊÕÂÊÔ¼75%£¬£¬£¬£¬ £¬ÉúÎïʹÓÃ¶ÈÆ¬¼ÁΪ60%¡«80%£¬£¬£¬£¬ £¬õ¯¼ÁΪ70%¡«85%£¬£¬£¬£¬ £¬¿Ú·þÆðЧʱ¼ä0.5¡«2Сʱ£¬£¬£¬£¬ £¬Ñª½¬Å¨¶È´ï·åʱ¼ä2¡«3Сʱ£¬£¬£¬£¬ £¬»ñ×î´óЧӦʱ¼äΪ2¡«6Сʱ¡£¡£¡£¡£¡£×÷ÓÃά³Ö4¡«7Ì죻£» £»£»£»¾²Âö×¢ÉäÆðЧʱ¼ä5¡«30·ÖÖÓ£¬£¬£¬£¬ £¬´ï·åʱ¼ä1¡«4Сʱ£¬£¬£¬£¬ £¬Ò»Á¬Ê±¼ä6Сʱ¡£¡£¡£¡£¡£×¢Éä¸øÒ©Ò×Ö²»Á¼·´Ó¦£¬£¬£¬£¬ £¬¹Ê½öÊÊÓÃÓÚÑÏÖØÐÄË¥ÐèÒªÁ¬Ã¦ÖÎÁƵIJ¡ÈË¡£¡£¡£¡£¡£ÂþÑÜ£ºÎüÊÕºóÆÕ±éÂþÑܵ½¸÷×éÖ¯£¬£¬£¬£¬ £¬²¿·Ö¾­µ¨µÀ½øÈ볦µÀ¶øÐγɸΨC³¦Ñ­»·¡£¡£¡£¡£¡£Ñª½¬ÂѰ×ÍŽáÂʵÍ£¬£¬£¬£¬ £¬Îª20%¡«25%£¬£¬£¬£¬ £¬±í¹ÛÂþÑÜÈÝ»ýΪ6¡«10L/©K¡£¡£¡£¡£¡£ ´úлÓëÉøÍ¸£ºµØ¸ßÐÁÔÚÌåÄÚת»¯´úлºÜÉÙ£¬£¬£¬£¬ £¬Ö÷ÒªÒÔÕæÏàÓÉÉöɨ³ý£¬£¬£¬£¬ £¬ÄòÖÐÇãÔþÁ¿ÎªÓÃÁ¿µÄ50%¡«70%£»£» £»£»£»µØ¸ßÐÁÏû³ý°ëË¥ÆÚƽ¾ùΪ35Сʱ¡£¡£¡£¡£¡£

¡¾Öü²Ø¡¿ÃÜ·âÉúÑÄ¡£¡£¡£¡£¡£

¡¾°ü×°¡¿²£Á§Æ¿£¬£¬£¬£¬ £¬30ml/Æ¿£¬£¬£¬£¬ £¬1Æ¿/ºÐ£»£» £»£»£»100ml/Æ¿£¬£¬£¬£¬ £¬1Æ¿/ºÐ

¡¾ÓÐÓÃÆÚ¡¿24¸öÔÂ

¡¾Ö´Ðбê×¼¡¿¡¶ÖлªÈËÃñ¹²ºÍ¹úÒ©µä¡·2015Äê°æ£¨¶þ²¿£©

¡¾Åú×¼Îĺš¿¹úÒ©×¼×ÖH10970389

¡¾Éú²úÆóÒµ¡¿

ÆóÒµÃû³Æ£º±±¾©»ªÈó¸ß¿Æ×ÔȻҩÎïÓÐÏÞ¹«Ë¾

Éú²úµØµã£º±±¾©ÊÐÑÓÇìÇøÑÓÇìÕòæ£Ë®ÄϽÖ11ºÅ

ÓÊÕþ±àÂ룺102100

µç»°ºÅÂ룺400¡ª1698808

´«ÕæºÅÂ룺010¡ª81192559

 


·µ »Ø

 

»¥ÁªÍøÒ©Æ·ÐÅÏ¢·þÎñ×ʸñÖ¤Êé £¨ÔÁ£©¡ª·Çı»®ÐÔ¡ª2021¡ª0179
·µ»Øµ½Ê×Ò³ »Øµ½¶¥²¿
¡¾ÍøÕ¾µØÍ¼¡¿¡¾sitemap¡¿